Limiti di una sommatoria

Analisi, algebra lineare, topologia, gruppi, anelli, campi, ...
Rispondi
Aft3r
Messaggi: 1
Iscritto il: 03 mar 2024, 22:32

Limiti di una sommatoria

Messaggio da Aft3r »

Buonasera,
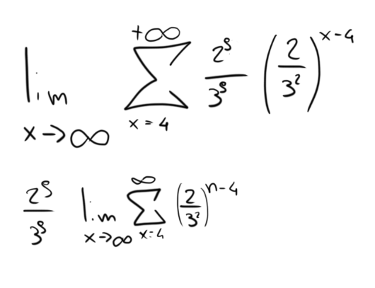
per chi avesse partecipato alle gare a squadre di qualche giorno fa e si è approcciato al problema nel mio stesso modo, forse la situazione risulterà familiare, altrimenti siete comunque i benvenuti. In ogni caso, nel problema di Sinner e Medvev, credo di essermi ritrovato davanti ad un limite con x tendente ad infinito con una sommatoria. In quanto ancora studente di terzo, ho provato ad informarmi online su come potessi risolverlo, ma non sono riuscito a trovare istruzioni per limiti con serie di numeri. Non so se sia effettivamente il modo giusto per risolverlo, ma anche se non lo fosse gradirei comunque se qualcuno riuscisse a spiegarmi come risolvere una situazione del genere. grazie in anticipo a chiunque possa aiutarmi. Lascio in allegato suddetto limite (da quello che sono riuscito a trovare sia per limiti che per sommatoria, dovrei poter tirare fuori il 2^9/3^9 senza problemi, no?)
Allegati
Screenshot 2024-03-03 223955.png
Screenshot 2024-03-03 223955.png (39.72 KiB) Visto 5630 volte
Stef2008
Messaggi: 80
Iscritto il: 17 apr 2023, 19:42

Re: Limiti di una sommatoria

Messaggio da Stef2008 »

$\sum^{\infty}_{x=4}\frac{2^9}{3^9}×(\frac{2}{3^2})^{x-4}=\frac{2^9}{3^9}\sum^{\infty}_{x=0}(\frac{2}{3^2})^{x}=\frac{2^9}{3^9}×\frac{1}{1-\frac{2}{9}}$
Dove nell'ultimo passaggio si usa la formula per le serie geometriche (guarda https://it.m.wikipedia.org/wiki/Serie_geometrica )
TheMathSolver1
Messaggi: 29
Iscritto il: 27 feb 2024, 18:02

Re: Limiti di una sommatoria

Messaggio da TheMathSolver1 »

Niente da aggiungere…
[math]
Rispondi